
El presidente de Estados Unidos, Donald Trump, impuso un arancel del 10% a los productos que importa Estados Unidos, con tasas aún más altas para los países que él considera los “peores infractores”.
Pero, ¿cómo se calcularon exactamente estos aranceles (en esencia, impuestos sobre las importaciones)?
BBC Verify ha analizado los cálculos que sustentan las cifras.
Cuando Trump presentó en la Casa Blanca este miércoles un gráfico gigante de cartón en el que se detallaban los aranceles, se asumió inicialmente que los gravámenes se basaban en una combinación de los aranceles existentes y otras barreras comerciales (como las regulaciones).
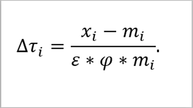
Pero, más tarde, la Casa Blanca publicó lo que podría parecer una complicada fórmula matemática (ver imagen de arriba).
El ejercicio en sí se redujo a una simple operación matemática: tomar el déficit comercial de bienes de EE.UU. con un país concreto y dividirlo por el total de importaciones de bienes de ese país.
A continuación, esa cifra, que sería el arancel final, se divide por dos porque Trump dijo que estaba siendo “amable”.
Un déficit comercial se produce cuando un país compra (importa) más productos físicos de otros países de los que les vende (exporta).
Por ejemplo, Estados Unidos compra más productos a China de los que le vende: hay un déficit de US$295.000 millones. El total de bienes que compra a China es de US$440.000 millones.
Dividiendo 295 entre 440 se obtiene el 67%, que se divide entre dos y se redondea. Por tanto, el arancel impuesto a China es del 34%.
Del mismo modo, cuando se aplicó a la Unión Europea, la fórmula de la Casa Blanca dio como resultado un arancel del 20%.
Hay que tener en cuenta que en las cifras que ofrece la Casa Blanca solo se está calculando el déficit comercial de bienes. No cuenta el comercio de servicios, donde Estados Unidos tiene un gran superávit con el mundo.
Para James Surowiecki, periodista estadounidense especializado en economía, calcular de esta forma un arancel es un “tremendo disparate”, publicó en la red social X.
“No puedo creer que dijeran ‘simplemente dividiremos el déficit comercial por las importaciones y le diremos a la gente que esa es la tasa arancelaria’. ¡Y luego decidieron fijar nuestros aranceles simplemente reduciendo a la mitad esa tasa totalmente inventada! Esto es estúpido y tramposo”, escribió el experto en temas financieros.

¿Son los aranceles de Trump “recíprocos”?
Muchos analistas han señalado que estos aranceles no son recíprocos.
Recíprocos significaría que se basan en lo que los países ya cobran a EE.UU. en forma de aranceles existentes, más las barreras no arancelarias (cosas como las regulaciones que acaban por aumentar los costes).
Pero el documento sobre la metodología oficial de la Casa Blanca deja claro que esto no se ha calculado para todos los países a los que han impuesto aranceles.
En su lugar, la tasa arancelaria se calculó con el argumento de que eliminaría el déficit comercial de bienes de EE.UU. con cada país.
De hecho, Trump se ha desmarcado de la fórmula al imponer aranceles a países que compran más productos de EE.UU. de los que le venden.
Por ejemplo, Estados Unidos no tiene actualmente déficit comercial con el Reino Unido. Sin embargo, se le ha impuesto un arancel del 10%.
En total, más de 100 países se han visto afectados por el nuevo régimen arancelario.
Repercusiones más amplias
Trump cree que Estados Unidos está saliendo mal parado en el comercio mundial. En su opinión, otros países inundan los mercados estadounidenses con productos baratos, lo que perjudica a las empresas del país y destruye puestos de trabajo. Al mismo tiempo, estos países ponen barreras que hacen que los productos estadounidenses sean menos competitivos en el extranjero.
Así que, utilizando los aranceles para eliminar los déficits comerciales, Trump espera reactivar la industria manufacturera estadounidense y proteger el empleo.
Pero, ¿conseguirá este nuevo régimen arancelario el resultado deseado?
BBC Verify ha hablado con varios economistas. La opinión mayoritaria es que, aunque los aranceles podrían reducir el déficit de mercancías entre EE.UU. y países concretos, no reducirán el déficit global entre EE.UU. y el resto del mundo.
“Sí, reducirá los déficits comerciales bilaterales entre Estados Unidos y esos países. Pero obviamente habrá muchos efectos más amplios que no se reflejan en el cálculo”, afirma el profesor Jonathan Portes, del King’s College de Londres.
Esto se debe a que el actual déficit global de EE.UU. no se debe únicamente a las barreras comerciales, sino al funcionamiento de la economía estadounidense.
Por un lado, los estadounidenses gastan e invierten más de lo que ganan, y esa diferencia significa que Estados Unidos compra al mundo más de lo que vende. Mientras esto siga así, EE.UU. seguirá registrando un déficit a pesar del aumento de los aranceles con sus socios comerciales.
Algunos déficits comerciales pueden deberse a razones legítimas, no sólo a los aranceles. Por ejemplo, comprar alimentos que son más fáciles o más baratos de producir en los climas de otros países.
Según Thomas Sampson, de la London School of Economics: “La fórmula es ingeniería inversa para racionalizar el cobro de aranceles a países con los que Estados Unidos tiene déficit comercial. No hay ninguna razón económica para hacerlo y costará caro a la economía mundial”.
